close[X]
您的购物车
型号 数量 货期
查看购物车 结算

1610nm DFB 保偏激光二极管


中心波长:1610nm;边模抑制比:30-40dB;阈值电流:20-30mA;工作电流:80-120mA;芯片输出功率:10-30mW;量子效率:0.08-0.12mW/mA;电流调谐系数:0.015nm/mA;温度调谐系数:0.12nm/K;接头:FC/APC

✱因产品升级或技术原因,产品配图可能有出入,具体请咨询客服!

货号 :     
库存 : 请咨询客服
货期 : 请咨询客服
点右侧在线咨询
 
 华北西南东北 Moli
13061644116 同微信 可扫码
 info@microphotons.com
 西北华中华东华南 Daisy
18602170419 同微信 可扫码
 info@microphotons.com

产品总览

我们的PL-DFB-1610-A-A81-PA,1610nm DFB 激光二极管模块是一款经济高效、高相干性的激光源。该 DFB 激光二极管芯片采用行业标准的 14 针蝶形全密封封装,内置 TEC 和 PD。

 

产品特点

窄线宽(< 2MHz)

优秀的波长控制和稳定性

行业标准 14 针蝶形封装

无跳模调谐

优秀的可靠性

可提供客户定制波长

 

产品应用

可调谐二极管激光吸收光谱法

CO2 监测


尺寸图

1.png



激光器规格

电气/光学特性(Tsub=25°C,CW 偏置,除非另有说明)

参数

符号

Min. 值

典型值

Max. 值

单位

中心波长

λ

1609.5

1610

1610.5

nm

边模抑制比

SMSR

30

40


dB

阈值电流

Ith


20

30

mA

工作电流

Iop


80

120

mA

芯片输出功率

Pf

10

15

30

mW

量子效率

η

0.08

0.12


mW/mA

电流调谐系数

∆λ/∆I


0.015


nm/mA

温度调谐系数

∆λ/∆T


0.12


nm/K

正向电压

Vf


1.3

2

V

热敏电阻阻值

RT

9.5

10

10.5

热敏电阻温度系数



-4.4


%/°C

接头

FC/APC

 

光谱

2.jpg 

 

DFB线宽测试结果

 3.jpg

 

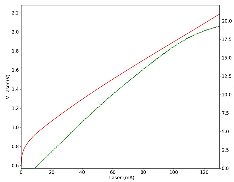
L-I曲线

 4.jpg

调谐特性

 5.png

光束质量

 6.jpg

2D

 7.png

3D

 

相机分析

 8.png

引脚定义   原理图(俯视图)

 9.png

 

PIN#

定义

PIN#

定义

1

Thermistor

8

Case Ground

2

Thermistor

9

Case Ground

3

LD(-)

10

N/C

4

Detector (+)

11

LD(+)

5

Detector (-)

12

LD (-), RF

6

TEC (+)

13

LD(+)

7

TEC (-)

14

N/C

 

jue对Max. 额定参数

单位

Min. 值

典型值

Max. 值

外壳温度

°C

-5

25

70

芯片温度

°C

+10

25

40

工作电流

mA

0

100

150

正向电压

V

0.8

1.2

1.8

TEC电流

A

-

-

1.2

反向电压 (LD)

V

-

-

2.0

反向电压 (PD)

V

-

-

20

 

CO2

10.png 

订购信息

PL-DFB-口口口口-☆-A8▽-XX

口口口口: Wavelength

1392:1392nm

1512:1512nm

1567:1567nm

1572:1572nm

****

1610:1610nm

☆:Output Power

A: 10mw

B:20mW

V:Wavelength Tolerance

1: ±lnm

2: 士2nm

XX: Fiber and Connector Type

SA=SMF-28E+FC/APC

SP=SMF-28E+ FC/PC

PP=PM Fiber+ FC/PC

PA=PM Fiber+ FC/APC

其它型号
  名称 型号货号         价格
1605nm DFB 保偏激光二极管 货号无
联系客服或  
 提交询价单  
1567nm DFB激光二极管 适用于CO检测 货号无
联系客服或  
 提交询价单  
1570nm DFB激光二极管 适用于CO2检测 货号无
联系客服或  
 提交询价单  
1572nm DFB激光二极管 适用于CO2检测 货号无
联系客服或  
 提交询价单  
1576nm DFB激光二极管 适用于CO2检测 货号无
联系客服或  
 提交询价单  
1578nm DFB激光二极管 适用于H2S检测 货号无
联系客服或  
 提交询价单  
1590nm DFB激光二极管 货号无
联系客服或  
 提交询价单  
1593nm DFB激光二极管 货号无
联系客服或  
 提交询价单  

相关产品




使用本网站,即表示您同意我们使用cookie.它可以帮助更好地提供会员服务以及短时间内记录您的浏览记录
已知晓 了解详情
提示