40dB。Innolume基于GaAs的DFB和DBR激光器利用InGaAs量子阱(QW)或InAs/GaAs量子点(QD)有源区域和专有芯片设计,覆盖970-1330nm光谱范围。 截至今天,DFB激光器和DBR激光器是常用的激光变体,te别是在科学研究和操作中使用方面。两种激光器型号均采用一种单一的纵向模式,在各种应用中的效率、光谱纯度和长期性能方面也非常可靠。 Innolume是您现代DFB激光器和DBR激光器的合作伙伴,可以根据您的业务需求和" />
| 货号 | 操作 | 名称 | 描述 |
|---|
| 图片 | 名称 | 货号货期 | 描述 | 价格 |
|---|
分布式反馈 (DFB) 和分布式布拉格反射器 (DBR) 激光二极管是发射极窄光谱线的光源,带宽低于 5MHz,典型侧模抑制比 (SMSR) > 40dB。Innolume基于GaAs的DFB和DBR激光器利用InGaAs量子阱(QW)或InAs/GaAs量子点(QD)有源区域和专有芯片设计,覆盖970-1330nm光谱范围。 截至今天,DFB激光器和DBR激光器是常用的激光变体,te别是在科学研究和操作中使用方面。两种激光器型号均采用一种单一的纵向模式,在各种应用中的效率、光谱纯度和长期性能方面也非常可靠。 Innolume是您现代DFB激光器和DBR激光器的合作伙伴,可以根据您的业务需求和规格进行优化。与我们联系,了解更多304永利集团的开创性技术成就以及我们产品的可能应用!
集成自由空间光隔离器(双级)
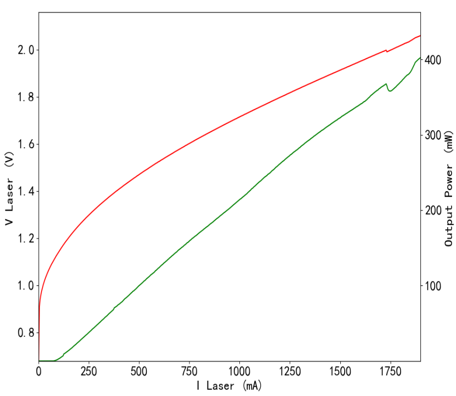
1300-1330nm范围内输出功率>100mW
ex光纤(ex-fiber) 无跳模连续调谐
单独老化和热循环筛选( Individual burn-in and thermal cycling screening) 专有镜面涂层技术,实现高可靠性
内置监控光电二极管(可选)
900um光纤松套管(可选)
尺寸图

推荐操作条件 @CW,机箱安装在室温散热器上 | ||||
参数 | Min. | Typ. | Max. | 单位 |
芯片温度 | 20 | 25* | 40 | ℃ |
正向电流 | 1500 | 1850 | mA | |
输出功率** | 350 | 450 | mW | |
*在某些情况下,可根据所选波长而变化
**整个范围内无扭结
特点 @CW,25℃*,800mA | ||||
参数 | Min. | Typ. | Max. | 单位 |
输出功率@1800mA | 400 | mW | ||
正向电压 | 2.6 | 3.5 | V | |
阈值电流 | 60 | 100 | mA | |
峰值波长**(由客户选择) | 1300 | 1330 | nm | |
峰值波长容差 | ±1 | nm | ||
波长温度可调谐性 | 120 | pm/℃ | ||
波长电流可调谐性 | 4 | pm/mA | ||
侧模抑制比(SMSR) | 40 | 50 | dB | |
*在某些情况下,根据所选波长,温度在20-40℃范围内变化
**功率>100mW时可在波长公差范围内达到
耦合以后的测试数据

光谱测试图:

波长可调谐曲线:

线宽测试(CW,25.617 kHZ@25deg,500mA)

RIN噪声测试曲线:

以上实验数据由先进光学实验室测试提供。
jue对Max. 额定值 | |||
参数 | Min | Max | 单位 |
正向电流 | 2000 | mA | |
反向电压 | 2 | V | |
TEC电流 | 3 | A | |
TEC电压 | 4 | V | |
芯片工作温度 | 5 | 50 | ℃ |
外壳工作温度 | 0 | 70 | ℃ |
储存温度 | -40 | 85 | ℃ |
光纤频带半径 | 3 | cm | |
通用参数
热敏电阻规格 | 光纤规格 | |||||
参数 | 值 | 单位 | 参数 | Value | Value | Unit |
类型 | NTC | 光纤类型 | HI1060 | PM1300 | ||
25°C时的电阻 | 10±0.1 | kOhm | 数值孔径(典型) | 0.14 | 0.12 | |
β0-50°C | 3375±1% | K | 截止波长 | 920±50 | 1200±70 | nm |
| 模场直径 | 6.2±0.3@1060nm | 9.3±0.5@1300nm | µm | ||
包覆层直径 | 125±1 | 125±1 | µm | |||
涂层直径 | 245±15 | 245±15 | µm | |||
松套管直径(可选) | 900 | 900 | µm | |||
连接器 | FC/APC | FC/APC | ||||
Key | narrow | narrow | ||||
光纤耦合DFB激光模块的典型参数
部件号 | 集成光隔离器1 | 峰值波长范围2 | 输出功率 | 工作电流 | 阈值电流 | 侧模抑制比 | 波长温度可调性 | 波长电流可调性 | 偏振消光比PER |
nm | mW | mA | mA | dB | pm/K | pm/mA | dB | ||
DFB-9XX-YY-30 | 968 – 986 | 30 | 100 | 20 | 55 | 90 | 1.5 | 18 | |
DFB-10XX-YY-50 | 1020 – 1120 | 50 | 200 | 30 | 55 | 100 | 2 | 18 | |
DFB-10XX-YY-30-VO (新) | 是的 | 1020 – 1120 | 30 | 200 | 30 | 55 | 100 | 2 | 18 |
DFB-11XX-YY-50 | 1120 – 1200 | 50 | 300 | 30 | 50 | 110 | 2 | 18 | |
DFB-11XX-YY-30-VO (新) | 是的 | 1120 – 1200 | 30 | 300 | 30 | 50 | 110 | 2 | 18 |
DFB-12XX-YY-50 | 1200 – 1280 | 50 | 350 | 50 | 50 | 120 | 2 | 18 | |
DFB-12XX-YY-60-VO (新) | 是的 | 1200 – 1280 | 60 | 350 | 50 | 50 | 120 | 2 | 18 |
DFB-13XX-YY-50 | 1280 – 1330 | 50 | 350 | 50 | 50 | 120 | 2.5 | 18 | |
DFB-13XX-YY-60-VO (新) | 是的 | 1280 – 1330 | 60 | 350 | 50 | 50 | 120 | 2.5 | 18 |
DFB-13XX-YY-100-VO (新) | 是的 | 1280 – 1330 | 100 | 800 | 60 | 50 | 120 | 4 | 18 |
注
1,体积光学设计
2,该范围内的任何波长都可用,公差为±1nm
该设备发出的光是不可见的,可能对人眼有害。设备运行时,避免直视光纤连接器。在连接器打开的情况下操作时,必须佩戴适当的激光安全眼镜。
jue对Max. 额定值只能在短时间内应用于设备。长时间暴露于Max. 额定值或暴露于一个以上的Max. 额定值可能会导致设备损坏或影响其可靠性。超出Max. 额定值操作设备可能会导致设备故障或安全隐患。
必须使用与部件一起使用的电源,以确保不会超过Max. 正向电流。
散热器上的设备需要适当的散热器。该设备必须用4个螺钉(以X型方式拧紧,初始扭矩设置为0.075Nm,最终X型螺栓拧紧至0.15Nm)或夹具安装在散热器上。散热器表面平整度的偏差必须小于0.05mm。建议在外壳底部和散热器之间使用铟箔或导热软材料作为热接口。不宜为此使用导热油脂。
DFB-1310-HI-100-VO -> 100mW output power at 1310nm peak wavelength, HI-1060 fiber
DFB-1312-PM-100-VO-PD-LT -> 100mW output power at 1312nm peak wavelength, PM-1300 fiber, with builtin monitor photodiode and fiber loose tube

