close[X]
您的购物车
型号 数量 货期
查看购物车 结算

1602 nm高功率(DFB)窄线宽激光器


输出功率:50-70mW;中心波长:1602nm;光谱线宽(半高宽):200-300KHz;边模抑制比:40dB;偏振消光比:20dB;光隔离度:40dB;热电制冷器设定温度:15-40ºC;阈值电流:15-30mA;激光二极管工作电流:400mA

✱因产品升级或技术原因,产品配图可能有出入,具体请咨询客服!

货号 :     
库存 : 请咨询客服
货期 : 请咨询客服
点右侧在线咨询
 
 西北华中华东华南 Daisy
18602170419 同微信 可扫码
 info@microphotons.com
 华北西南东北 Sherry
16628709332 同微信 可扫码
 info@microphotons.com

产品总览

304永利集团的分布反馈(DFB)激光器具有超低相对强度噪声(RIN)、超窄线宽和高输出光功率等特点,广泛应用于车载激光雷达、光纤传感检测系统及高精度测量领域。我们可根据客户需求提供定制化服务及相应的技术支持。

 

产品特点

线宽:70 千赫兹 - 100 千赫兹

光功率:180 毫瓦

相对强度噪声(RIN):-163 分贝每赫兹(@100 千赫兹)

 

产品应用

可调谐二极管激光吸收光谱法

激光雷达

远距离光纤通信

 

尺寸图

1.png 

 

 

激光器规格

指标

符号

Min. 值

典型值

Max. 值

单位

条件说明

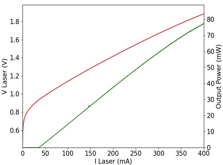
输出功率

Po

50

70


mW

连续波(CW)

中心波长

λc

1601.5

1602

1602.5

nm

温度 T=25℃

光谱线宽(半高宽)

ΔνL


200

300

KHz

洛伦兹线宽

边模抑制比

SMSR

40



dB

连续波(CW),在输出功率 Po 条件下

偏振消光比

PER

20



dB

适用于保偏器件,沿慢轴方向

相对强度噪声

RIN


-163

-155

dB/Hz


光隔离度

ISO

40



dB


热电制冷器设定温度

TTEC

15


40

ºC


阈值电流

Ith


15

30

mA

在热电制冷器设定温度 TTEC 条件下

激光二极管工作电流

Ib



400

mA

连续波(CW),在输出功率 Po 条件下

激光二极管工作电压

Vf


1.5

1.8

V

连续波(CW),在输出功率 Po 条件下

光电探测器偏置电压

VR

4.75

5

5.25

V

阴极到阳极

光电探测器电流

Imc



2

mA

在输出功率 Po 条件下

光电探测器暗电流

Imd



1

nA

偏置电压 VR=5V 条件下

工作温度

To

-40

25

80

⁰C


存储温度

Ts

-40


80

⁰C


λ₁:C 波段 ITU 标准可选,型号为 ITU-CXX(其中 XX=24、28、32、36、44)

 

光谱

2.png 

 

L-I曲线

 3.png

 

调谐特性 

 4.png

 

线宽测试结果

 5.png

 

 

引脚定义:

Type-A

 6.png

PIN#

定义

PIN#

定义

1

热敏电阻

8

外壳接地

2

热敏电阻

9

外壳接地

3

激光阴极(-)

10

N/C

4

探测器(+)

11

激光阳极(+)

5

探测器(-)

12

激光阴极(-)

6

TEC (+)

13

激光阳极(+)

7

TEC (-)

14

N/C

 

 

订购信息

PL-DFB-□□□□-△-☆-A8▽-XX-NL

□□□□: Wavelength

1550: 1550nm *****

1602: 1602nm

△ :Narrow linewidth

50: 50KHz

100: 100KHz

200: 200KHz

☆ : Output Power

50: 50mW

100: 100mW

180: 100mW

▽ : Wavelength Tolerance

1: ±1nm

2: ±2nm

XX: Fiber and Connector Type

 SA=SMF-28E+ FC/APC

SP=SMF-28E+ FC/PC   

PP=PM Fiber+ FC/PC   

PA=PM Fiber+ FC/APC

NL: Narrow Linewidth@200KHZ





使用本网站,即表示您同意我们使用cookie.它可以帮助更好地提供会员服务以及短时间内记录您的浏览记录
已知晓 了解详情
提示