电源电压:20-26DC;功率:5-45W;激光器驱动电流: 0-128/266/590mA;激光器驱动电压:3-15V;响应频率@-3db:0-5MHz; TEC输出电流:-1.5~1.5A;TEC输出电压:-4.5~4.5V;
✱因产品升级或技术原因,产品配图可能有出入,具体请咨询客服!
| 货号 : B80020085 | |
| 库存 : 请咨询客服 | |
| 货期 : 请咨询客服 | |
| 点右侧在线咨询 | |
LDRVUNI是一款用于多种半导体激光器的电流驱动与温度控制模块。其主要功能包括:控制激光器内部温度、以恒流驱动激光器,并可将外部输入电压信号转换为电流驱动。模块具有三种Max电流驱动范围,适用于不同功率大小的激光器,通过电路板跳线进行选择,
● 支持一键还原功能(无需重新开机预热)
● 软件远程操控,智能化控制
● 输出功率稳定,连续可调
● 结构紧凑小巧
● 高精度ACC和ATC控制电路
● 自带高低调制带宽BNC接口
● 激光传感
● 锁模光纤激光器
● 掺镱光纤放大器
● 测试测量
特性 | Min | Max | 单位 | 注释 |
电源电压 | 22 | 26 | DC | 希望系统噪声zui低时,建议采用直流稳压电源 |
功率 | 5 | 45 | W | |
激光驱动电流 | 0 | 128/ 266/ 590 | mA | 跳线可选 |
激光驱动电压 | 3 | 15 | V | 可程序控制 |
响应频率 | 0 | 5 | MHz | -3db |
温度控制范围 | 0 | 50 | oC | |
TEC输出电流 | -1.5 | 1.5 | A | |
TEC输出电压 | -4.5 | +4.5 | V | |
模拟输入(低频) | -2.5 | 2.5 | V | |
模拟输入(高频) | -2.5 | 2.5 | V |
尺寸340(L)×240(W)×100(H)mm
面板

1电源输入;2电源指示;3工作指示;4低频输入;5高频输入;6手动按钮;7触发按钮;8放大器电源 ;9 USB接口
设置仪器
电流挡位

电路板上P4和P9(CURRENT_SET)用于设置电路板Max电流挡位。注意二者的跳线位必须完全一致以得到正确的设置。
跳线 | 型号 | Max电流 |
| LDRVUNI120 | 128 mA |
| LDRVUNI250 | 266 mA |
| LDRVUNI600 | 590 mA |
必须在断电时操作跳线。必须将两跳线设置为同样位置,否则电脑控制软件无法确定仪器的型号,导致电流异常。
温控
TEC参数调整由电路板上的多位拨码开关完成,位于激光安装板上方,如下图所示:

14 温控PID参数调节 15 TEC电流调节I_LIM 16TEC电压调节V_LIM
参考所用的激光器参数设定1516:应将15设定为略低于激光器内部TEC的Max工作电流值,16略低于激光器内部TEC的Max工作电压。如果16未找到足够接近值,也可将其设定为稍高的值;但15应始终严格小于TEC的Max工作电流。
14调节温控PID系统的时间常数,如果软件中观察到激光温度振荡,表面PID响应过快,应降低PID的响应速度,应从1至3顺序打开开关,直至不再出现振荡。(在关机状态下操作!)

接线

参照电路板上标注及不同激光安装座上的标注连接激光引线,安装激光器后,在上电前,请再次仔细检查连接情况。
当激光器有任何一个功能引脚(如LD+, LD+)与外壳相连时,都应将激光外壳与安装板绝缘。具体方式可采用硅胶绝缘垫放置在激光器下方,或者使用塑料螺钉和垫片固定安装板。此外NTC-是与系统地相连的,可用其将激光外壳接地。关于接地问题请咨询销售方电器工程师!
使用
电脑端控制
装回仪器盖板,将控制器连接专用电源,并用USB线连接电脑。仪器接入电源,WIN7及以上系统会提示自动联网安装USB驱动。当使用其他系统或无法联网时请在http://www.ftdichip.com/Drivers/VCP.htm 下载对应驱动。驱动安装好后会在“设备管理器”出现虚拟串行设备。
打开电脑端专用软件,如下图所示:

在Communication Port中找到对应的虚拟串口,若未找到,点击Refresh按钮。点击Connect按钮,正常握手后控制台变亮,并读取控制器的当前设定值。在LD Temp Setpoint输入需要的工作温度,点击Set Temperature设定。Start滑动条设定恒定工作电流值,Limit滑动条设定Max限制电流。点击下方的Set Parameters将参数发送至仪器。点击Save All Settings将所有参数保存在仪器中。
点击Run:DC 将以设定的电流值启动激光器。Limit滑动条用于保护激光器,在外部输入情况下也能限制电流,请设置为激光器参数表中的Max工作电流
注意:启动激光前,请仔细检查各参数是否在激光器的允许工作范围内!
外部信号
仪器面板的4和5为标准BNC接头,用于接收外部输入,其输入等效电路如下图所示:

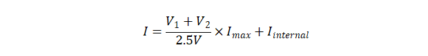
激光器的驱动电流为:

其中Iinternal 为软件中设定的电流值, Iinternal 为仪器挡位Max电流。仪器可Max接收5MHz频率调制
外部控制
当所有参数通过软件设定妥当,且已通过Save All Settings保存后。仪器可以离线运行。具体操作为打开电源,向左扳动按面板上的6按钮,仪器将以先前保存的温度值和电流值开始工作,并允许外部输入。向OFF端搬动6 则停止运行,注意此时激光器处于受保护状态,外部输入无法工作。
可以通过拉低7 TRIG输入端电平(中心电极短接屏蔽层),同样起到启动激光的作用。建议将7连接外部光耦或继电器进行程序控制工作。
通讯说明
专用转换线缆将电路板连接至电脑USB或串口。USB转换器采用FT232R芯片模拟串口,WIN7以上系统会自动联网安装驱动。其他系统或未联网时请在http://www.ftdichip.com/Drivers/VCP.htm 下载对应驱动。驱动安装好后会在“设备管理器”出现新的串行设备,通讯速率默认为115200bps。通过接收ASCII格式串行命令改变参数,命令以回车结束。
以下以PuTTY为例说明通讯方法。打开PuTTY后,连接选择Serial,输入与设备管理器中一致的端口号,Speed中输入115200,点击open即可打开黑色的交互端口,通过键盘输入相关指令即可(Backspace按键无效)。正确输入命令后系统会有提示设置结果,错误会返回error信息。

电脑为主控端(上位机),发送字符串命令。以“:”冒号作为起始符开始一行命令,以回车(\r\n)结束一行,下位机执行后返回信息。以下所有功能均可通过配套软件访问,建议以配套LDPD软件完成设置并得到正确波形后,点save保存参数至下位机,再转由其他客户端来进行控制。
运行模式如下:
>>>>>> 发送auto on开始,返回(1)Auto run started.[[OK]]
>>>>>> 激光器加载所设定的电流
>>>>>> 发送auto off停止, 返回(0)Auto run stopped.[[OK]]
参数设置:
发送 | 功能及返回值 |
about | 返回下位机当前的参数: >> 优秀行 (%f) TEC.\r\n >> (浮点数,与下发的参数一致) >> 第二行 (%d,%d,%d) PGA,freq,amp.\r\n >> (对LDRV模块,以上为无意义参数) >> 第三行(%d,%d,%d) bias.\r\n >> (数值与下发命令bias a,b,c一致) >> 第四行 (%d,%d) dm,phase.\r\n >> (LDRV上为无意义参数) |
version | 回复: RYMLASER<本机型号><版本号> |
temp | 返回当前环境温度值,激光器温度 |
tec x | x为摄氏温度,设置激光器的目标温度,可为小数, |
tecp kP kI kD | 设定温度控制系统的PID参数,用以保证温度控制系统的稳定,用户可以调整参数以实现快速或慢速响应 限制专业用户使用!不良的PID参数会导致温度震荡,甚至损坏激光器 系统出厂值: kP =3000; kI=6000; kD=10 |
tecfast | TEC常规模式,使用已存储的PID参数 |
tecslow | TEC慢速模式,使kP/2, kI/8,将降低温度系统的时间常数 |
bias a b c | a:电流设定(0~65535) b:限流设定(0~65535) c:无意义参数,设置为1以上数值 a和b数值通过下述公式计算 a = (Iset/Imax)*65536 Iset为要设定的电流,Imax为仪器Max电流(根据本机型号,在Instrument.ini中查看) |
save | 保存当前的所有参数,下次开机会自动调用。 |
| 名称 | 型号货号 | 描述 | 价格 |
|---|



